Non-phthalate Plasticizers Contacts Tokyo:+81-3-5540-8106 Osaka:+81-6-6203-3962
Plasticizers are categorized into phtalate, trimellitic acid-based, aliphatic dibasic acid-based, and epoxy-based types, to name a few. Here, we introduce our non-phtalate plasticizers. Currently, under the environmental regulations of the European REACH regulation and RoHS directive, DOP (Di-2-ethylhexyl phthalate) is being replaced by substitute plasticizers. Examples of such substitutes for DOP include DINP (diisononyl phthalate) and other non-phtalate plasticizers.
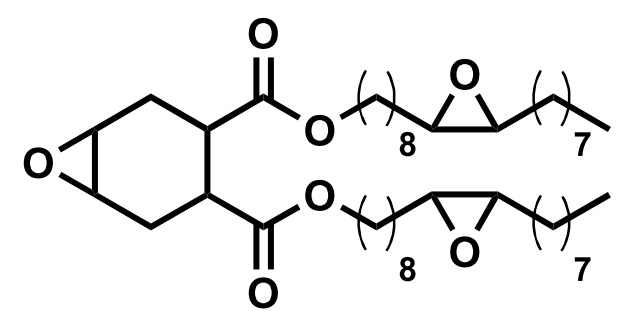
Cyclohexenedicarboxylic Acid
SANSO CIZER DOTH is a non-phthalate plasticizer produced by the esterification of cyclohexenedicarboxylic acidic anhydride with 2-ethylhexanol. It offers the same plasticizing performance as DOP but is superior in its resistance to cold. It is used in polyvinyl chloride paste products and rubber products found in toys and houseware.
| Product name | Constitutional formula | TDS | Chemical name | Applications |
|---|---|---|---|---|
| SANSO CIZER DOTH |
|
|
Bis(2-ethylhexyl) 4-cyclohexene-1,2-dicarboxylate | Plasticizer Soft PVC product |
Adipate, Sebacate, Azelate Plasticizers
Adipate, sebacate, azelate plasticizers are produced by the esterification of alcohol and aliphatic dibasic acids such as adipic acid, azelaic acid, or sebacic acid. They are often used in combination with general-purpose phthalates DOP and DINP for improving resistance to cold. Low in viscosity with a high viscosity index and excellent low-temperature fluidity, they are a popular for lubricants.
SANSO CIZER DINA (Diisononyl adipate) is an adipic acid-based plasticizer produced by the esterification of adipic acid and isononyl alcohol (C9). DINA is a cold resistant plasticizer which has excellent performances in terms of plasticization efficiency and volatility.
SANSO CIZER DIDA (Diisodecyl adipate) is an adipic acid-based plasticizer produced by the esterification of adipic acid and isodecyl alcohol (C10). DIDA is a cold resistant plasticizer superior to DINA in volatility.
SANSO CIZER DOZ (Di-2-ethylhexyl azelate) is an azelate plasticizer produced by the esterification of azelaic acid and Di-2-ethylhexanol (C8). DOZ has excellent cold resistance compared to DINA and DIDA.The viscosity stability of plastisol is also favorable.
SANSO CIZER DOS (Di-2-ethylhexyl sebacate) is a sebacic plasticizer produced by the esterification of sebacic acid and Di-2-ethylhexanol (C8).DOS has excellent cold resistance and volatility compared to DOZ.It is a cold-resistant plasticizer that provides flexibility to PVC and synthetic rubbers.
Epoxy Plasticizers
Epoxy plasticizers are characterized by the epoxy groups contained in their molecules, which act as stabilizers in chrorine containing polymers such as polyvinylchloride (PVC).
SANSO CIZER E-PS and E-PO
E-PS is an alicyclic epoxy plasticizer that offers superior resistance to weather and discoloration from heat as well as excellent compatibility with polymers such as PVC. It is used as an alternative to DOP. It is also a popular durability improver for sealing materials such as silyl modified polymers. E-PO is an alicyclic epoxy plasticizer with exceptional heat resistance. It contains multiple epoxy groups in addition to an alicyclic epoxy group.
SANSO CIZER E-2000H (Epoxidized soybean oil) and E-9000H (Epoxidized linseed oil)
E-2000H and E-9000H are epoxy-based plasticizers produced by the epoxidation of natural animal and vegetable oils (soy oil, linseed oil) carrying unsaturated bonds. They act as optimal stabilizers due to their excellent resistance to heat, weather and migration.
SANSO CIZER E-4030 and E-6000
E-4030 and E-6000 are epoxy-based plasticizers produced by the epoxidation of unsaturated fatty esters. They are monoester epoxy plasticizers that offer combined resistance to weather, heat and cold.
